榴莲视频APP成人中心
XIEN ELECTRIC
-
公司榴莲视频APP成人
-
行业榴莲视频APP成人
无锡榴莲视频APP下载IOS电气有限公司
地 址: 中国江苏省无锡市锡山区东港镇勤工路8号邮 编: 214199
销售电话: 0510-88762886 / 0510-88761458
联系电话: 0510-88763068
传 真: 0510-88765273
周 经 理: 139-5156-3682
E-mial:sales@czkbywjx.net / E-mial:wxshn1985@163.com
东部地区 :
联系电话:138-0618-4930 (周经理)
451616011@qq.com
中部地区 :
联系电话:139-1526-2918 (曹军)
2093398510@qq.com
西部地区(成都)办事处
联系电话:13921129051(无锡)
18908235950(成都) 028-61379728
联系人:张经理(marker1974@163.com)
榴莲视频色版的工作原理
2020-07-20

榴莲视频色版的主要功能是:电压转换;阻抗变换;隔离;稳压器(磁饱和榴莲视频色版)等。常用的铁芯形状一般是E型和C型铁芯。
榴莲视频色版是一种利用电磁感应原理将一种电压的交流电转换成另一种频率相同的交流电的nengliang转换设备。
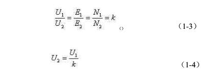
榴莲视频色版的主要部件是一个铁芯和套在铁芯上的两个绕组,如图(1)所示。一个绕组连接到电源,称为初级绕组(初级绕组,初级),另一个绕组连接到负载,称为次级绕组(次级绕组,次级)。每个初级绕组的数量用下标1表示,每个次级绕组的数量用下标2表示。初级绕组的匝数为1N,次级绕组的匝数为2N。
理想情况如下(不包括电阻、铁损和漏磁)。电压u1施加到初级绕组以产生电流i1,电流i1建立磁通量并沿铁芯闭合,并分别在初级和次级绕组中感应电动势e1和e2。
1.电压转换
当交流电压u1施加到初级绕组的两端时,通过绕组中的交流电流i1将在铁芯中产生主磁通量。结果表明,只要改变初级绕组和次级绕组的匝数比,就可以根据需要改变电压。

2.当前转换
榴莲视频色版工作时,二次电流I2主要取决于负载阻抗模式|Z1|,而一次电流I1取决于I2。
这表明榴莲视频色版可以改变电流和电压。

推荐榴莲视频APP成人
- 榴莲视频APP下载IOS电气祝大家蛇年快乐2024-12-31
- 榴莲视频APP下载IOS电气携全体员工庆祖国母亲75周年诞辰2024-09-29
- 炎炎夏日送清凉,丝丝关爱沁心脾2024-07-23
- 榴莲视频APP下载IOS电气开展“安全生产月”专题培训2024-07-15
- 脉冲榴莲视频色版有哪些特点2024-05-23
- 干式榴莲视频色版和油浸式榴莲视频色版有什么区别2024-05-23
